Menghitung Evapotranspirasi Potensial Tanaman Acuan (ETo)
Evapotranspirasi
potensial tanaman acuan (ETo)
dihitung dengan menggunakan rumus Penman Modifikasi. Rumus ini menghasilkan ETo
dari tanaman acuan berupa rerumputan pendek dengan albedo 0,25. Ada 2 metode
yang dapat digunakan pada rumus ini, yaitu :
1. Metoda Nedeco/Prosida
2. Metoda FAO
Dari kedua metoda tersebut,
rumus Penman Modifikasi Metoda FAO lebih umum dipakai, yaitu seperti dijelaskan
pada rumus dibawah ini.
dimana :
ET0 =
evapotranspirasi tanaman acuan (mm/hari)
c = faktor yang
menunjukkan pengaruh perbedaan kecepatan angin pada siang dengan malam hari
W =
faktor pembobot
Rn =
energi radiasi bersih yang menghasilkan evaporasi (mm/hari)
f(u) = fungsi kecepatan
angin rata-rata yang diukur pada ketinggian 2 m dengan satuan kecepatan angin dalam (km/hari)
(ea-ed) = perbedaan tekanan uap jenuh dengan tekanan
uap aktual (mbar)
1. Faktor c
Tidak ada data yang
membedakan kecepatan angin pada siang hari dan malam hari, maka nilai c
dianggap 1.
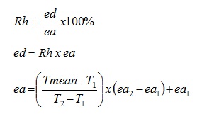
2. Perbedaan tekanan uap (ea-ed)
Berdasarkan nilai
temperatur rata-rata (Tmean), maka di peroleh dengan rumus :
dimana :
Rh = kelembaban relatif
(%)
T = temperatur (oC)
Tmean = temperatur udara rata-rata
(oC)
ea = tekanan uap jenuh
(mbar)
ed = tekanan uap aktual
(mbar)
3.
Fungsi kecepatan angin f(u)
Pengaruh angin
terhadap ET0 yang dihitung dengan rumus Penman Modifikasi ditunjukkan
dengan rumus :
Sedangkan untuk mencari secara
interpolasi linear digunakan rumus :
dimana :
f (u) = fungsi kecepatan angin
u = kecepatan angin harian rata-rata, yang diukur pada ketinggian
2 m (km/hari)
4. Faktor pembobot (W) dan (1-W)
Untuk mengkoreksi
nilai faktor pembobot, maka faktor pembobot W menjelaskan bobot pengaruh
perubahan tekanan dan energi radiasi terhadap ET0, secara matematis
dapat dihitung :
Sedangkan untuk mencari secara
interpolasi linear digunakan rumus :
dimana :
W = faktor pembobot
Δ = gradien perubahan
tekanan uap terhadap perubahan temperatur
૪ = konstanta psychrometric
z = ketinggian daerah
yang diamati (m)
T = temperatur (oC)
5. Radiasi bersih (Rn)
Radiasi bersih Rn
adalah selisih semua radiasi yang datang dengan semua radiasi yang pergi
meninggalkan permukaan bumi. Radiasi bersih dapat dihitung dengan rumus :
untuk mencari secara interpolasi
linear untuk f(t) digunakan rumus :
untuk mencari secara interpolasi
linear untuk f(ed) digunakan rumus :
untuk mencari secara interpolasi
linear untuk f(n/N) digunakan rumus:
dimana :
Rs = radiasi matahari
yang sampai ke bumi (mm/hari)
Ra = radiasi yang sampai
pada lapisan atas atmosfer (mm/hari)
Rns = radiasi bersih
matahari gelombang pendek (mm/hari)
Rn1 = radiasi bersih
gelombang panjang (mm/hari)
Rn = radiasi bersih
(mm/hari)
n/N = perbandingan jam cerah aktual dengan jam
cerah teoritis, yang besarnya sama dengan persentasepenyinaran matahari.
Sumber : Rancangan Irigasi














0 komentar:
Posting Komentar